ГДЗ,домашние задания,Мерзляк А.Г.,Полонский В.Б.,Рабинович Е.М.,Якир М.С., решебник по алгебре 5,6,7,8,9,10,11 класс,Истер О.С, решебник по геометрии  Мерзляк А.Г.,Полонский В.Б.,Рабинович Е.М.,Якир М.С., 5,6,7,8,9,10,11 класс, решебник Истер О.С., сборник заданий по алгебре Мерзляк А.Г.,Полонский В.Б.,Рабинович Е.М.,Якир М.С.,5,6,7,8,9,10,11 класс,Мерзляк А.Г.,Полонский В.Б.,Рабинович Е.М.,Якир М.С.,Истер О.С сборник задач по геометрии 5,6,7,8,9,10,11,физика,самостоятельные и контрольные работы,Кирик Л.А.,11 класс, сборник задач и решений по физике Рымкевич А.П.,9,10,11 класс

ГДЗ,домашние задания
ГДЗ,домашние задания
ГДЗ,домашние задания

Союз образовательных сайтов
ГДЗ,домашние задания
Rambler's Top100

2

на сайте
в Интернете
Формулы

Задачники
Решебники
Учебники



Формулы по математике
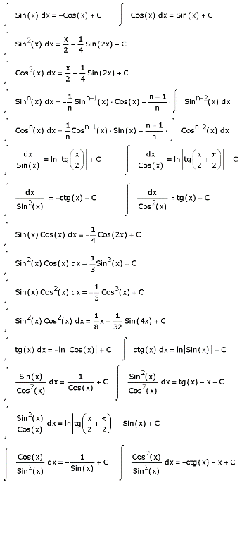
Интегрирование,интеграл

.
Copyright © 2010. Студия "Решение задач"


608-532-766 - Online
ГДЗ,домашние задания
решебник по алгебра
Регистрация сайта в каталогах, раскрутка и оптимизация сайта,контексная реклама