на сайте
в интернете
2
на сайте
в Интернете
Главная
Формулы
Гостевая
Гостевая книга
Задачники
Решебники
Учебники
Назад <<<
Следующие формулы >>>
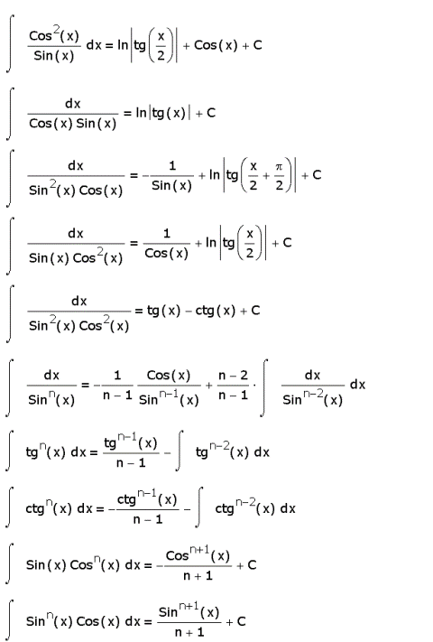
Формулы по математике
Программы
Мудрые мысли
Анекдоты
Узнай свой IQ
Полезные ссылки
Справочники карманные
Шпаргалки мобильные
Формулы
Сборники решений.ГДЗ
Сочинения
Решения задач Online
Написать админу
- 5 класс
- 6 класс
- 7 класс
- 8 класс
- 9 класс
- 10 класс
- 11 класс
- 5 класс
- 6 класс
- 7 класс
- 8 класс
- 9 класс
- 10 класс
- 11 класс
- 5 класс
- 6 класс
- 7 класс
- 8 класс
- 9 класс
- 10 класс
- 11 класс
Формулы
Сочинения
Гостевая
Главная
Решение задач Online
Гостевая книга
Студентам
.
Реклама на сайте
Copyright © 2010. Студия "Решение задач"
Видео уроки
608-532-766 -
Online
Новинка
Обсуждаем, просим здесь
Онлайн калькуляторы
Обратная связь
Морякам