ГДЗ,домашние задания,Мерзляк А.Г.,Полонский В.Б.,Рабинович Е.М.,Якир М.С., решебник по алгебре 5,6,7,8,9,10,11 класс,Истер О.С, решебник по геометрии  Мерзляк А.Г.,Полонский В.Б.,Рабинович Е.М.,Якир М.С., 5,6,7,8,9,10,11 класс, решебник Истер О.С., сборник заданий по алгебре Мерзляк А.Г.,Полонский В.Б.,Рабинович Е.М.,Якир М.С.,5,6,7,8,9,10,11 класс,Мерзляк А.Г.,Полонский В.Б.,Рабинович Е.М.,Якир М.С.,Истер О.С сборник задач по геометрии 5,6,7,8,9,10,11,физика,самостоятельные и контрольные работы,Кирик Л.А.,11 класс, сборник задач и решений по физике Рымкевич А.П.,9,10,11 класс

ГДЗ,домашние задания
ГДЗ,домашние задания
ГДЗ,домашние задания

Союз образовательных сайтов
ГДЗ,домашние задания
Rambler's Top100

2

на сайте
в Интернете
Формулы

Задачники
Решебники
Учебники


Формулы объема

Объём геометрической фигуры - количественная характеристика пространства, занимаемого телом или веществом. В простейших случаях объём измеряется числом умещающихся в теле единичных кубов, т. е. кубов с ребром, равным единице длины. Объём тела или вместимость сосуда определяется его формой и линейными размерами.

Формулы объема конуса:

1) Объем конуса равен одной трети произведения площади основания на высоту.

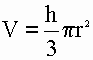
2) Объем конуса равен одной трети произведения числа пи (3.1415) на квадрат радиуса основания на высоту.





V - объем конуса

S - площадь основания конуса

h - высота конуса

п - число пи (3.1415)

r - радиус конуса


Формулы объема цилиндра:

1) Объем цилиндра равен произведению площади основания на высоту.

2) Объем цилиндра равен произведению числа пи (3.1415) на квадрат радиуса основания на высоту.




V - объем цилиндра

S - площадь основания цилиндра

h - высота цилиндра

п - число пи (3.1415)

r - радиус цилиндра



Формулы по математике
обьем конуса
обьем конуса
обьем конуса
обьем цилиндра
обьем цилиндра
обьем цилиндра

.
Copyright © 2010. Студия "Решение задач"


608-532-766 - Online
ГДЗ,домашние задания
решебник по алгебра
Регистрация сайта в каталогах, раскрутка и оптимизация сайта,контексная реклама